• Предмет: Математика
  • Автор: Аноним
  • Вопрос задан 1 год назад

СРОЧНО ДАЮ 100 БАЛОВ!!
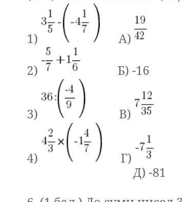
Поставить в правильном порядке:​

Приложения:

Ответы

Ответ дал: kompotik89046
1

Ответ:

все на фото

Пошаговое объяснение:

Приложения:

Аноним: Можешь до конца доделать?
Аноним: а ой извини
Аноним: спасибо
Вас заинтересует