• Предмет: Алгебра
  • Автор: islamplay2008
  • Вопрос задан 2 года назад

Найдите область определения функции, помогите пжл!!! Которое самое нижнее

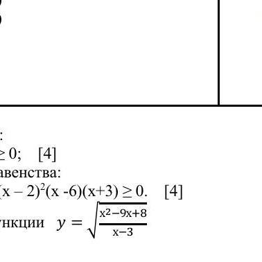
Приложения:

Ответы

Ответ дал: Секержицкая
0

Объяснение:

D(f):

x - 3 > 0 \\ x > 3

 {x}^{2}  - 9x + 8 \geqslant 0 \\ x = 1 \\ x = 8

x=(-∞;1]√[8;+∞)

D(f)=[1;3)√[8;+∞)


ГАЗ52: Нет
Ответ дал: Universalka
1

Подкоренное выражение корня чётной степени должно быть неотрицательным , то есть ≥ 0 .

Кроме того надо учесть , что под корнем дробь знаменатель которой не должен равняться нулю , так как на ноль делить нельзя .

\displaystyle\bf\\y=\sqrt{\frac{x^{2} -9x+8}{x-3} } \\\\\\\left \{ {{\dfrac{x^{2}-9x+8 }{x-3} \geq 0} \atop {x-3\neq 0}} \right. \\\\\\\left \{ {{\dfrac{(x-1)\cdot(x-8)}{x-3} \geq 0} \atop {x\neq 3}} \right. \\\\\\- - - - - \Big[1\Big]+ + + + + \Big(3\Big)- - - - - \Big[8\Big]+ + + + + \\\\\\D(y)=\Big[1 \ ; \ 3\Big)\cup\Big[8 \ ; \ +\infty\Big)


ГАЗ52: Систему можно не писать, тк решая дробно- рациональное неравенство, всё равно учитывешь что знаменатель не равен нулю.
Вас заинтересует