• Предмет: Алгебра
  • Автор: masha01021
  • Вопрос задан 2 года назад

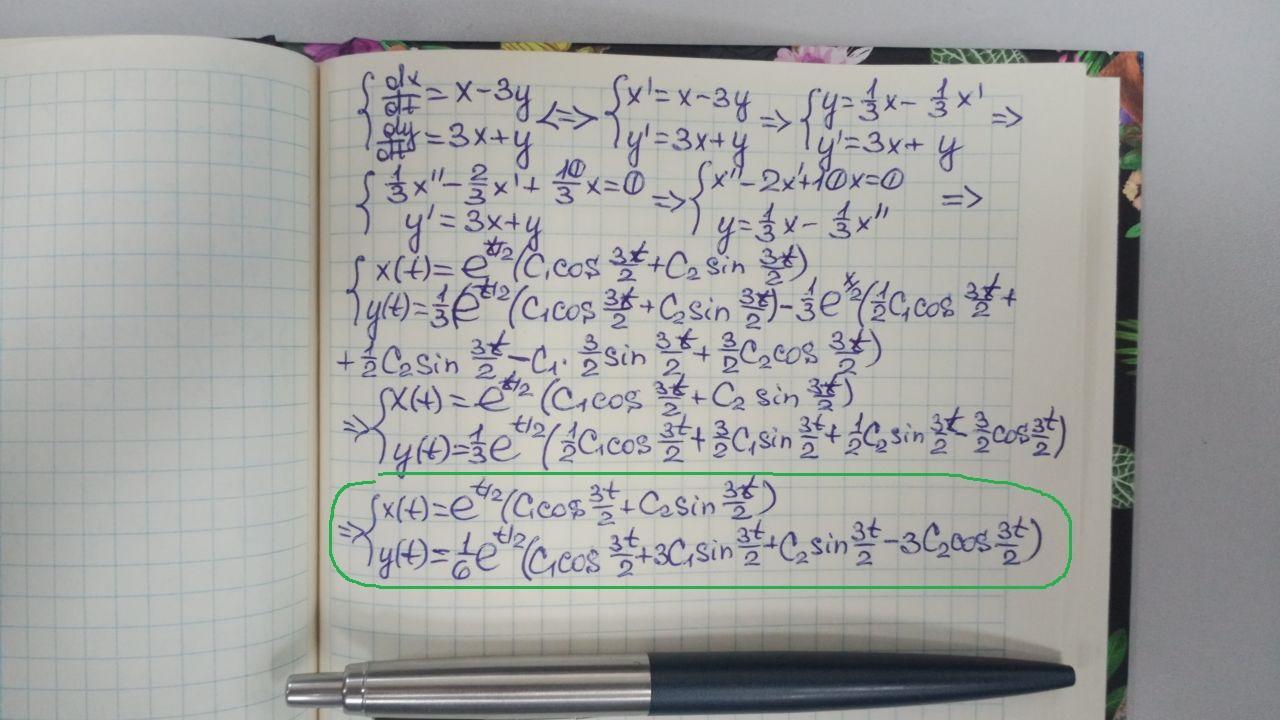
Помогите пожалуйста решить задачу диф уравнения ​

Приложения:

Ответы

Ответ дал: HSS9860
1

Объяснение:

попробуйте предложенный вариант; проверка не проводилась.

Приложения:

masha01021: о спасибо большое
masha01021: если будет время посмотрете еще 2 вопроса остались и все
masha01021: вид дифференциальное уравнение?
Вас заинтересует