• Предмет: Алгебра
  • Автор: mirrelklk
  • Вопрос задан 2 года назад

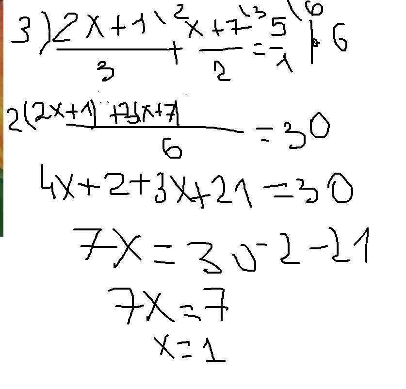
Завдання на фото
Тереба до 27 22:00​

Приложения:

Ответы

Ответ дал: telikmilk
1

Відповідь:

Пояснення:

4) що за число,де коректор?

Приложения:

mirrelklk: я незнаю потому что задание дала учительница
telikmilk: напишете ей
telikmilk: потому что пример не решиться
mirrelklk: хорошо
telikmilk: жду
Вас заинтересует