• Предмет: Алгебра
  • Автор: Alex334t5
  • Вопрос задан 2 года назад

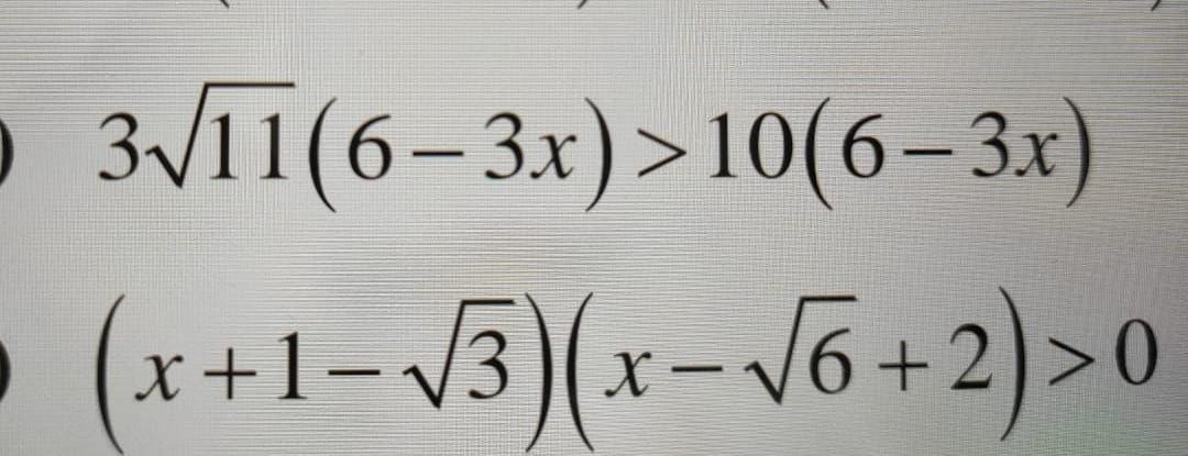
помогите решить,пж 50 баллов ​

Приложения:

Ответы

Ответ дал: sc0urgethehedgehog
0

На фото!!!!!!!!!!!!!!!!!!!!!!!!!!!!!!!!!!!!!!!!!!!!!!!!!!!!!!!!!!!!!!

Приложения:
Вас заинтересует