• Предмет: Математика
  • Автор: Arsen0912
  • Вопрос задан 2 года назад

Помогите пожалуйста,балами не обижу)​

Приложения:

Ответы

Ответ дал: iramazurk
1

Ответ:

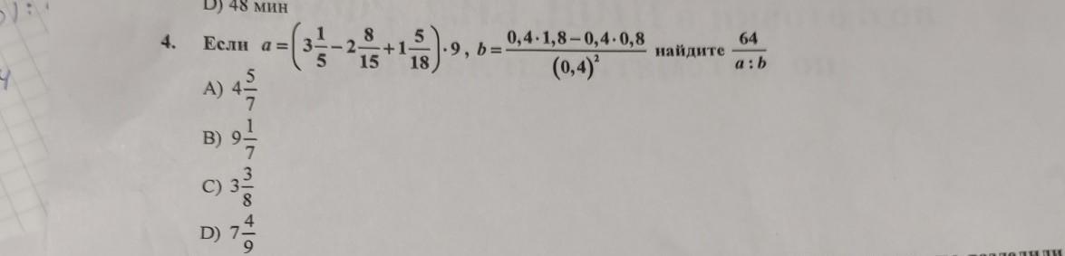
В) 9 1/7

Пошаговое объяснение:

Сначала найдем чему равно а :

1) 3 1/5 - 2 8/15 = 3 3/15 - 2 8/15 = 2 18/15 - 2 8/15 = 10/15 = 2/3

2) 2/3 + 1 5/18 = 12/18 + 1 5/18 = 1 17/18

3) 1 17/18 * 9 = 35/18 * 9 = 35/2 * 1 = 35/2 = 17,5

Теперь найдем чему равно в :

1) 0,4 * 1,8 - 0,4 * 0,8 = 0,4 * (1,8 - 0,8) = 0,4 * 1 = 0,4

2) 0,4² = 0,4 * 0,4 = 0,16

3) 0,4 : 0,16 = 2,5

64/(а : в) = 64/(17,5 : 2,5) = 64/7 = 9 1/7

Вас заинтересует