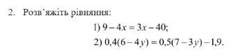
Ответы
Ответ дал:
0
Ответ:
можно лучший ответ,солнце?
Приложения:

Вас заинтересует
1 год назад
1 год назад
3 года назад
3 года назад
8 лет назад