• Предмет: Математика
  • Автор: t74015632
  • Вопрос задан 1 год назад

Срочно нужно, пожалуйста решите скорее, я вам буду очень благодарна!

Приложения:

Ответы

Ответ дал: Ticher1997
1

Пошаговое объяснение:

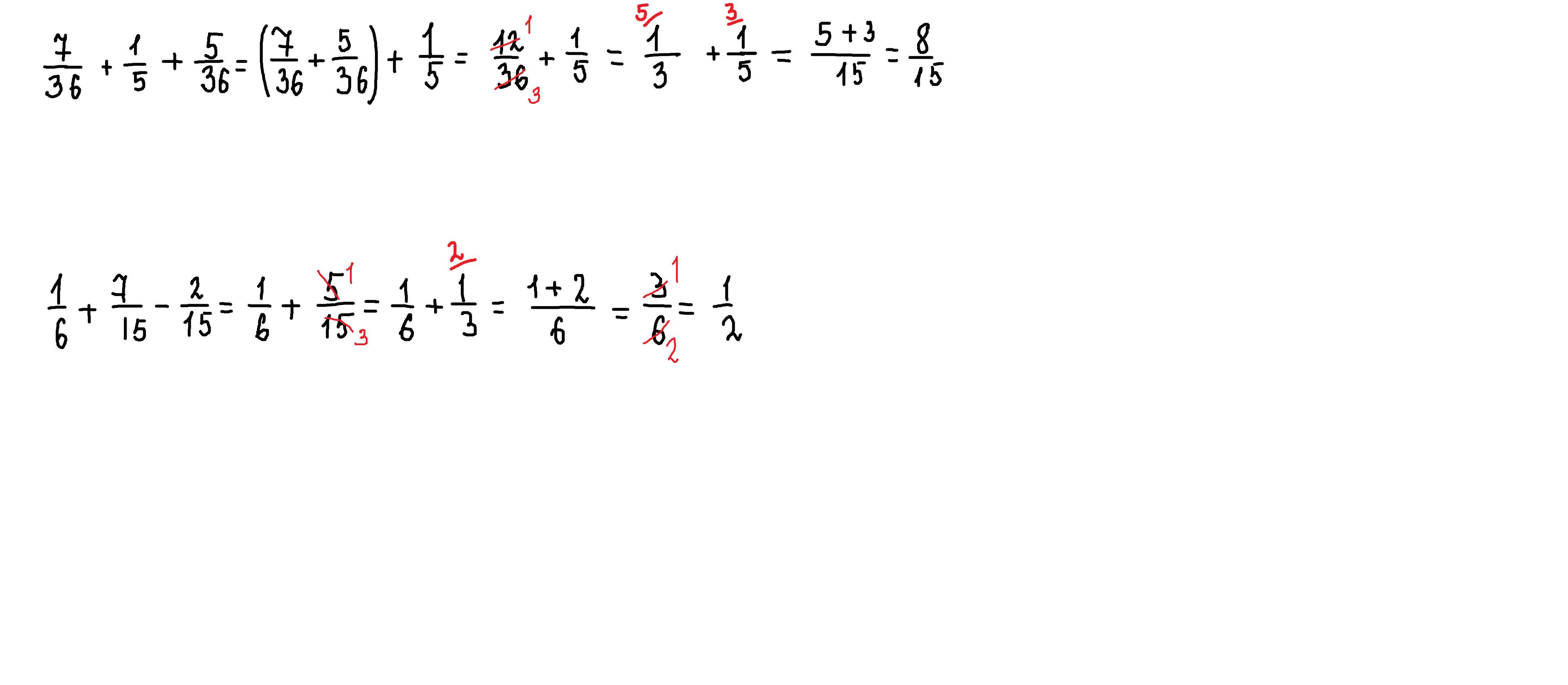
 \frac{7}{36}  +  \frac{1}{5}  +  \frac{5}{36} = \frac{7}{36} +   \frac{5}{36}  +  \frac{1}{5}  =  \frac{12}{36}  +  \frac{1}{5}  =  \frac{1}{3}  +  \frac{1}{5}  =  \frac{8}{15}

 \frac{1}{6}  +  \frac{7}{15}  -  \frac{2}{15}  =  \frac{1}{6}  +   \frac{5}{15}  =  \frac{1}{6}  +  \frac{1}{3}  =  \frac{3}{6}  = 0.5

Ответ дал: parus77
1

Ответ:

Пошаговое объяснение:

решение внизу

Приложения:
Вас заинтересует