• Предмет: Алгебра
  • Автор: DimitriyLukanov
  • Вопрос задан 2 года назад

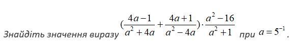
Знайдіть значення виразу

Приложения:

Ответы

Ответ дал: Universalka
0

\displaystyle\bf\\1)\\\\\frac{4a-1}{a^{2} +4a} +\frac{4a+1}{a^{2}-4a } =\frac{4a-1}{a\cdot(a+4)} +\frac{4a+1}{a\cdot(a-4)} =\\\\\\=\frac{(4a-1)\cdot(a-4)+(4a+1)\cdot(a+4)}{a\cdot(a+4)\cdot(a-4)} =\\\\\\=\frac{4a^{2} -16a-a+4+4a^{2} +16a+a+4}{a\cdot(a+4)\cdot(a-4)}= \\\\\\=\frac{8a^{2} +8}{a\cdot(a+4)\cdot(a-4)}= \frac{8 \cdot(a^{2} +1)}{a\cdot(a+4)\cdot(a-4)}= \frac{8\cdot(a^{2}+1) }{a\cdot(a^{2} -16)}

\displaystyle\bf\\2)\\\\ \frac{8\cdot(a^{2}+1) }{a\cdot(a^{2} -16)} \cdot\frac{a^{2} -16}{a^{2} +1} =\frac{8}{a} \\\\\\a=5^{-1} =\frac{1}{5} =0,2\\\\\\\frac{8}{a} =\frac{8}{0,2} =\frac{80}{2} =40\\\\\\Otvet \ : \ 40

Вас заинтересует