• Предмет: Алгебра
  • Автор: anastasiya23089
  • Вопрос задан 2 года назад

Допоможіть будь ласка!!!

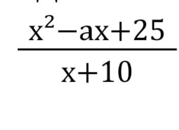
При яких значеннях а має єдиний корінь рівняння:

Приложения:

Ответы

Ответ дал: solntsevanik1
1

Ответ:

10

Объяснение:

Уравнение имеет один корень при D=0

D=a^2-4*1*25=0

 {a}^{2}  = 100 \\ a =  +  - 10 \\ a =  10

A=-10 - не модет быть, тогда знаменатель равен нулю. Овет а=10

Вас заинтересует