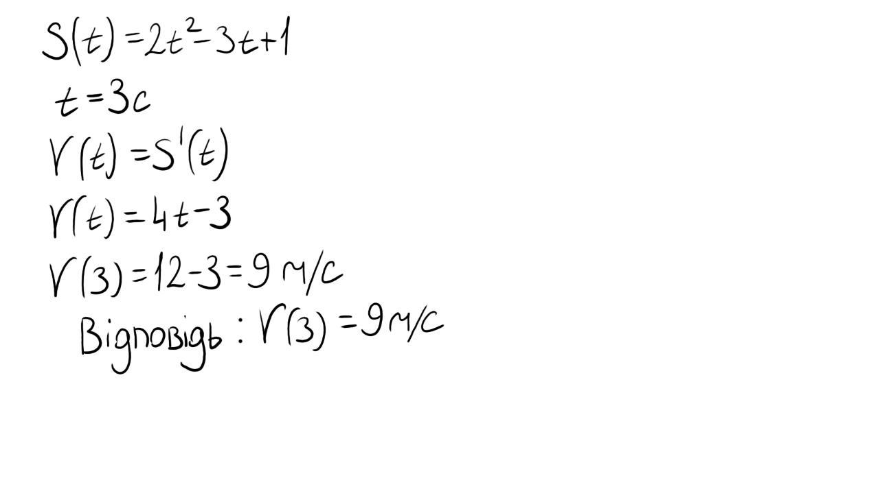
При русі тіла по прямій відстань s (у - метрах) змінюється за законом
s(t) = 2t^2 − 3t + +1 (t − час руху в секундах). Знайдіть швидкість тіла через 3 с після початку руху
Ответы
Ответ дал:
1
Відповідь із рішенням на фото:
Приложения:

lucyskorobogatko:
спасибо большое)
Вас заинтересует
1 год назад
1 год назад
1 год назад
1 год назад
3 года назад
3 года назад