• Предмет: Математика
  • Автор: slesveronika492
  • Вопрос задан 2 года назад

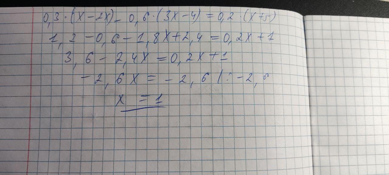
0,3×(4-2x)-0,6×(3x-4)=0,2×(x+5)​

Ответы

Ответ дал: Alexander890
1

Ответ:

Решил на фотографии.

Приложения:
Вас заинтересует