• Предмет: Математика
  • Автор: Evgenia4836
  • Вопрос задан 2 года назад

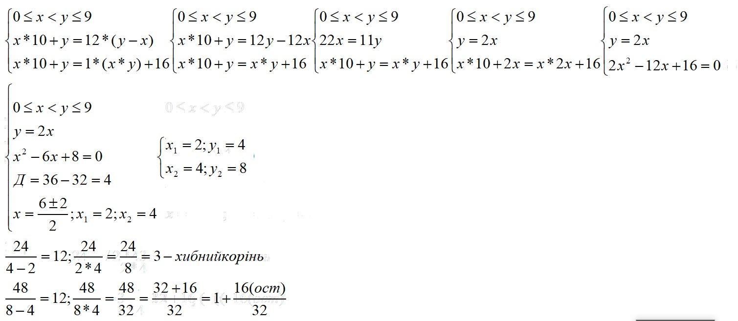
Если некоторое двузначное число, в котором число единиц больше числа десятков, поделить на разницу его цифр, то в доле получим 12, а если поделить это число на произведение его цифр, то полная доля будет равна 1, а остальные 16.
найдите какое-нибудь такое число
С объяснением

Ответы

Ответ дал: IUV
1

Відповідь:

48

Покрокове пояснення:

Приложения:

Evgenia4836: x не может быть равен нулю, должно было быть строгое неравенство. в остальном спасибо
Вас заинтересует