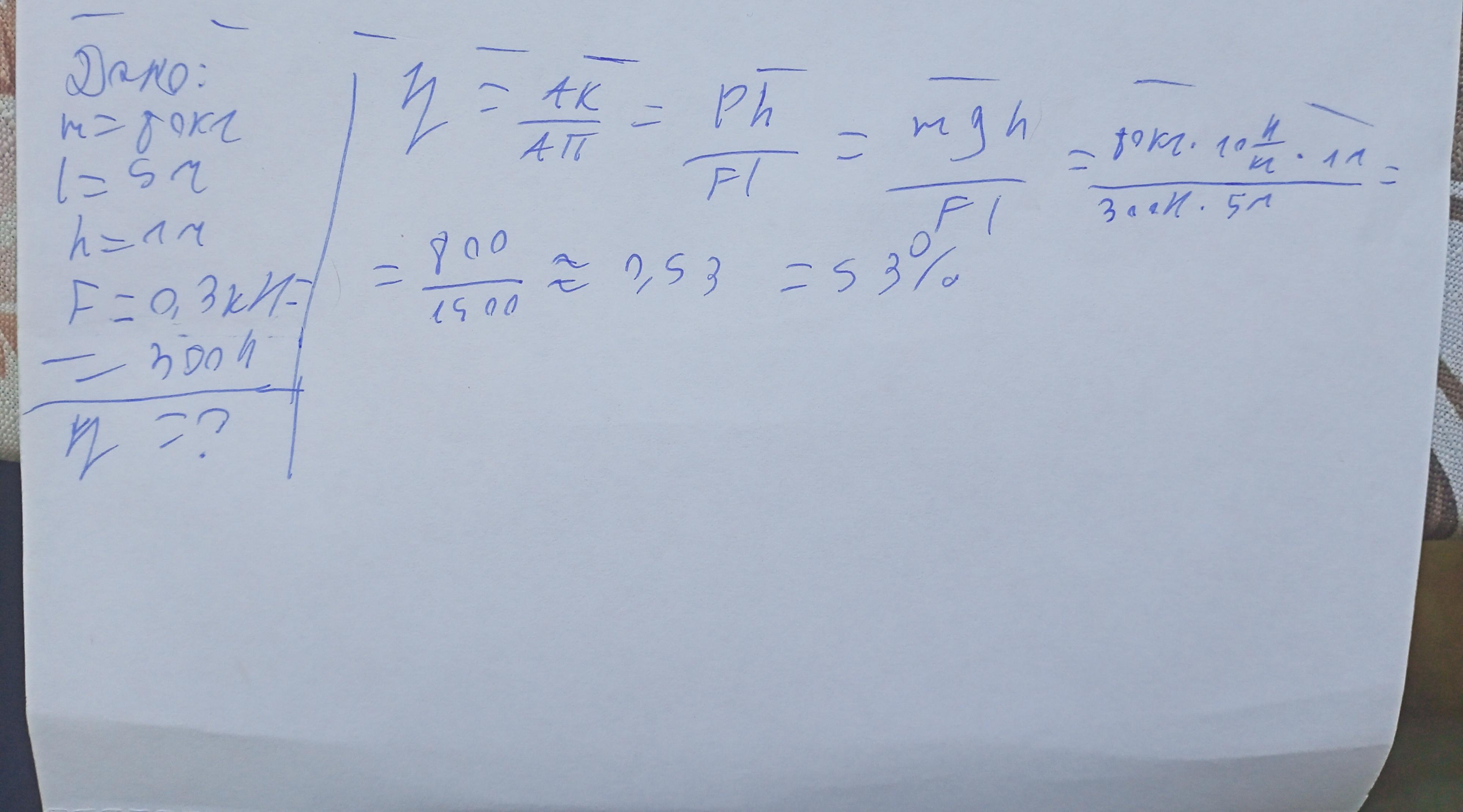
при рівномірному переміщенні вантажу масою 80 кг по похилій площині завдовжки 5 м і заввишки 1 м приклали силу 0 3 кн знайдіть ККД похилої площини
Ответы
                                            Ответ дал: 
                                                                                    
                                        
                                            
                                                
                                                
                                                
                                                    0
                                                
                                            
                                        
                                    Решение представлено на фото
Приложения:
                     
                            Вас заинтересует
                
                        1 год назад
                    
                
                        1 год назад
                    
                
                        3 года назад
                    
                
                        3 года назад
                    
                
                        8 лет назад