• Предмет: Алгебра
  • Автор: sixxxnagebator
  • Вопрос задан 2 года назад

Помогите пж❗❗❗❗❗
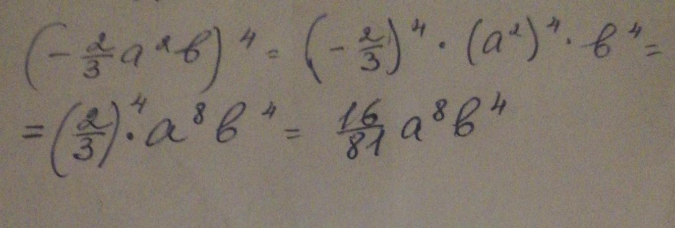
Спросите выраз (-⅔а²b)⁴
Надо очень срочно

Ответы

Ответ дал: larisaserova53
0

Ответ:

Смотри решение на фото.

Приложения:
Вас заинтересует