• Предмет: Алгебра
  • Автор: Аноним
  • Вопрос задан 2 года назад

Помогите пожалуйста!!​

Приложения:

Ответы

Ответ дал: solntsevanik1
1

Объяснение:

1.5 {a}^{2}  {c}^{ - 3}  \times 4 {a}^{ - 3}  {c}^{4}  = 1.5 \times 4 {a}^{2 - 3}   {c}^{ - 3 + 4}  = 6ac

Приложения:
Ответ дал: korrwinka
1

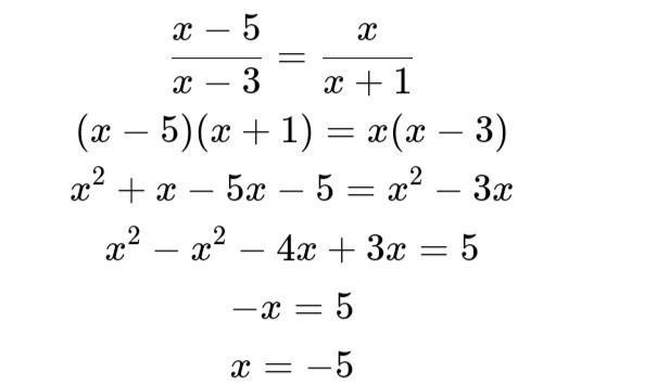
Ответ:

 \frac{x - 5}{x - 3}  =  \frac{x}{x + 1 \\ } \\ (x - 5) \times (x + ) = x \times (x - 3) \\ x {}^{2}   + x - 5x - 5 = x {}^{2}  - 3x \\ x - 5x - 5 =  - 3x \\  - 4x - 5 = 3x \\  - 4x + 3x = 5 \\  - x = 5 \\

Объяснение:

вот долго писала)))надеюсь помогла,ответ кстати -5

Вас заинтересует