• Предмет: Математика
  • Автор: sofiaaksonova941
  • Вопрос задан 2 года назад

Помогите пожалуйста
Фото:

Приложения:

Ответы

Ответ дал: alchetorn
1

Ответ:

-19

Пошаговое объяснение:

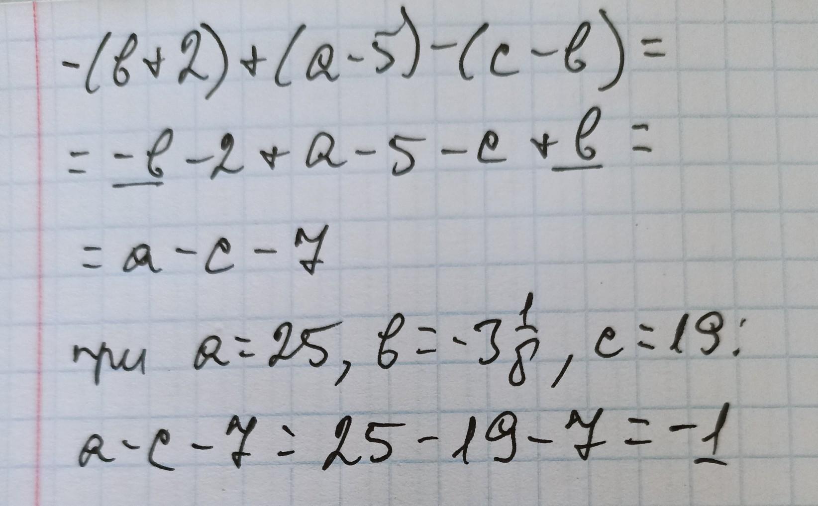
на фото

..............

Приложения:
Ответ дал: zhekatraktorist90
1

Ответ:15/8

             

Oбъяснение:25+2-3 1\8-19-3=15\8

Вас заинтересует