• Предмет: Математика
  • Автор: aira153
  • Вопрос задан 2 года назад

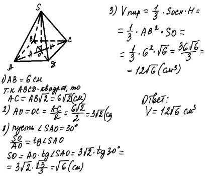
Довжина сторони основи правильної чотирикутної піраміди - 6 см, а бічне ребро
утворює з площиною основи кут 30°. Знайдіть об'єм піраміди.

Ответы

Ответ дал: zhekatraktorist90
0

Ответ в этом фото

не уверен что правильно

Приложения:
Вас заинтересует