Ответы
Ответ дал:
1
Ответ:
...........
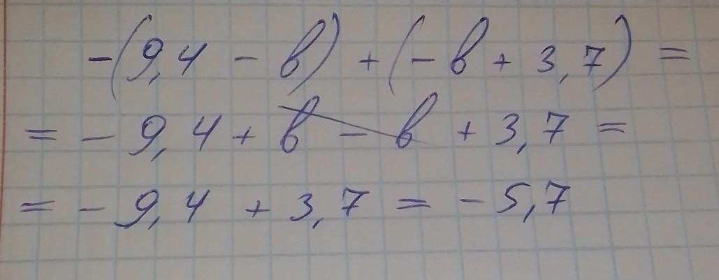
Пошаговое объяснение:
Когда стоит минус пере дружками меняем знак на противоположный , а когда плюс оставляем знаки.
Приложения:

mistrixx:
можно лучший ответ??
Ответ дал:
0
Ответ:
Відповідь є на фото!
Пошаговое объяснение:
Сподіваюсь що допоміг
Приложения:

Вас заинтересует
1 год назад
1 год назад
2 года назад
2 года назад
8 лет назад