Ответы
Ответ дал:
1
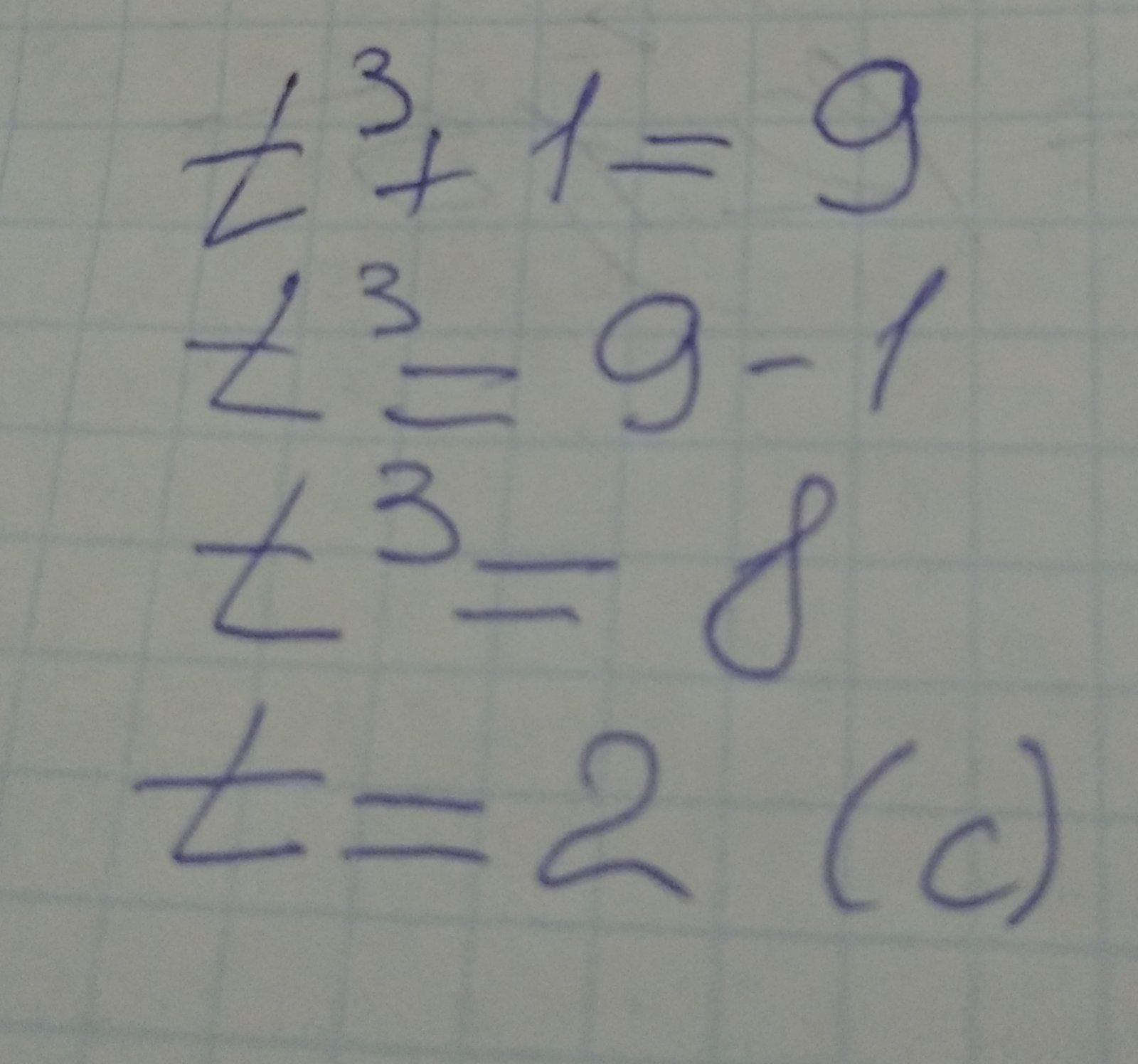
Відповідь: 4,5 м/с
Пояснення: Якщо є відстань - підставляємо її замість х, якщо є час - замість t. Взагалі, в цих завданнях головне зрозуміти що є що і просто підставити на правильне місце, а потім розв'язати звичайне рівняння
Приложения:

Вас заинтересует
1 год назад
1 год назад
1 год назад
1 год назад
2 года назад
2 года назад
8 лет назад