• Предмет: Алгебра
  • Автор: egor3665
  • Вопрос задан 2 года назад

Найдите значение , срочно ​

Приложения:

Ответы

Ответ дал: caramels79
0

Объяснение:

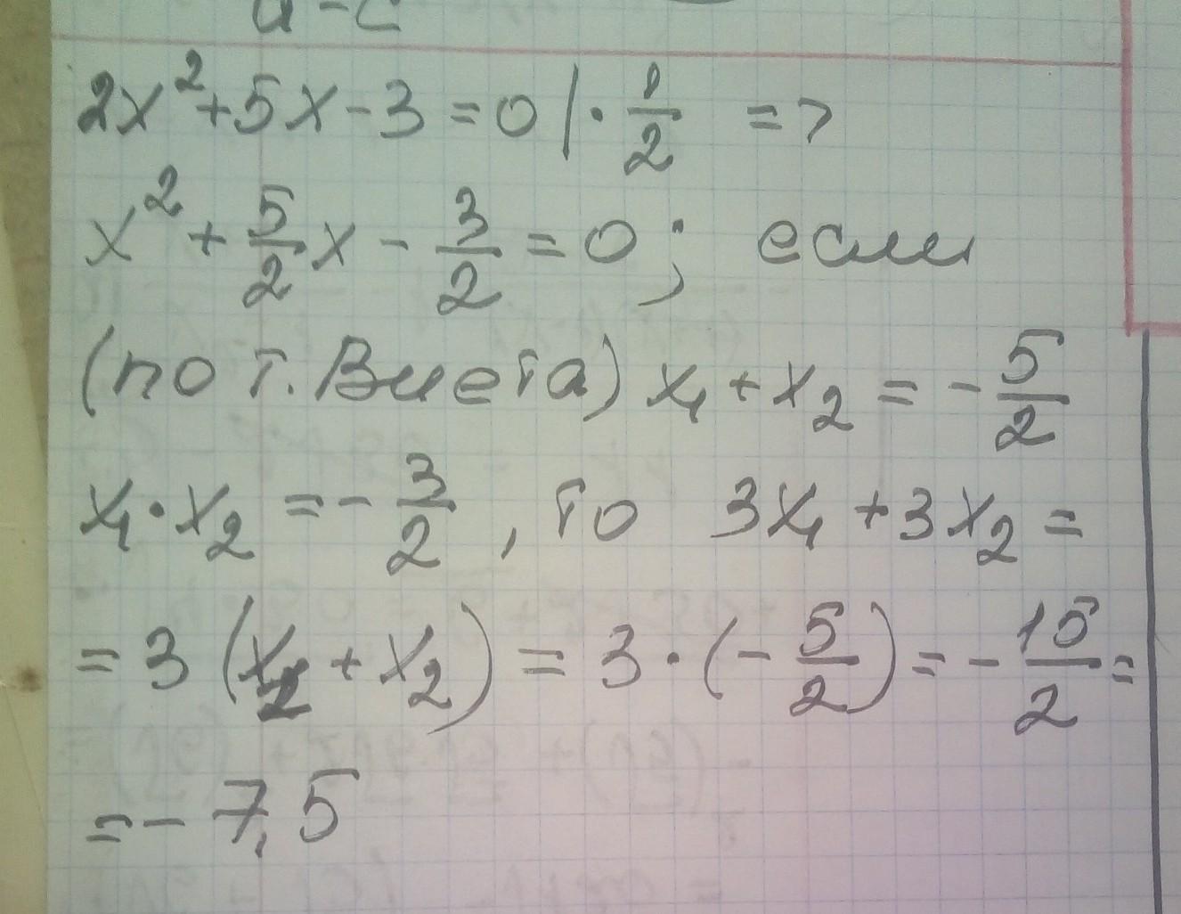
ответ должен быть -7,5

х1=-3 х2=1/2

Ответ дал: manyny06
0

Ответ:

решение смотри на фотографии

Приложения:
Вас заинтересует