• Предмет: Алгебра
  • Автор: zaxarovkosta2009
  • Вопрос задан 1 год назад

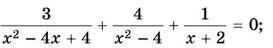
Розв’язати рівняння СРОЧНО!!!!!!!!!!!!!!!!!!!!!!
пжпжпжпжпж

Приложения:

Ответы

Ответ дал: MizoriesKun
1

Смотри....................

Приложения:

zaxarovkosta2009: Дякую
Вас заинтересует