• Предмет: Химия
  • Автор: nkv2181219
  • Вопрос задан 1 год назад

ТЕРМІНОВО!!!!
Задача з хімії на домішки.
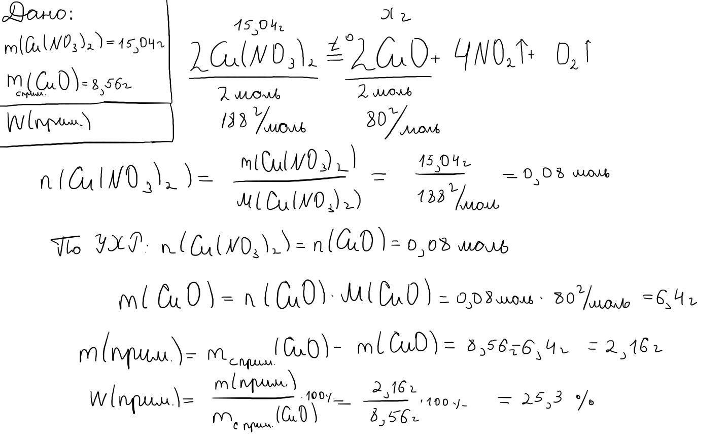
При розкладанні 15,04г нітрату купруму 2 утворилося 8,56г твердого залишку. Визначити масову частку домішок​


Abubachir555: примесей твердого осадка или нитрата меди?
nkv2181219: частку домішку
Abubachir555: это понятно, тут у двух веществ примеси могут быть-либо у нитрата меди, либо у оксида меди, т.е. твердого осадка
nkv2181219: Тоді незнаю, це вся умова, більше нічого не сказано
Abubachir555: я уже методом тыка понял, сейчас скину решение

Ответы

Ответ дал: Abubachir555
0

По всей видимости нитрат меди не до конца разложился, ибо у меня нет больше предположений, почему оксид меди родился с примесями(если считать по оксиду меди как по чистому веществу, то масса нитрата меди получается больше, чем в "дано")

Приложения:

nkv2181219: спасибо большое!
Вас заинтересует