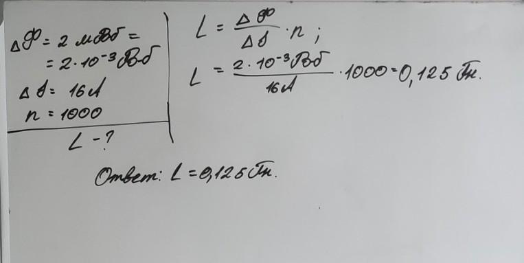
4.Визначити індуктивність котушки, яка має 1000 витків, якщо внаслідок зміни
струму в ній від 4 до 20 А потік магнітної індукції через її поперечний переріз
змінюється на 2 мВб.
А. 0,125 Гн. Б. 12,5 Гн. В. 125 Гн.
Ответы
Ответ дал:
0
Ответ:
ответ смотри на фотографии дай пожалуйста корону
Приложения:
Вас заинтересует
2 года назад
2 года назад
2 года назад
2 года назад
3 года назад
3 года назад
9 лет назад
9 лет назад