• Предмет: Математика
  • Автор: lledi8306
  • Вопрос задан 2 года назад

из ящика в котором лежат19 синих и 15 красных карандашей продавец не глядя вынимает один карандаш,какова вероятность того ,что этот карандаш будет красным ​

Приложения:

Ответы

Ответ дал: sonayevnaz
0

Ответ:

СИНИХ БОЛЬШЕ - ПОЭТОМУ ВЕРОЯТНОСТЬ БОЛЬШЕ.

Ответ дал: qulievaruqayya61
0

Ответ:

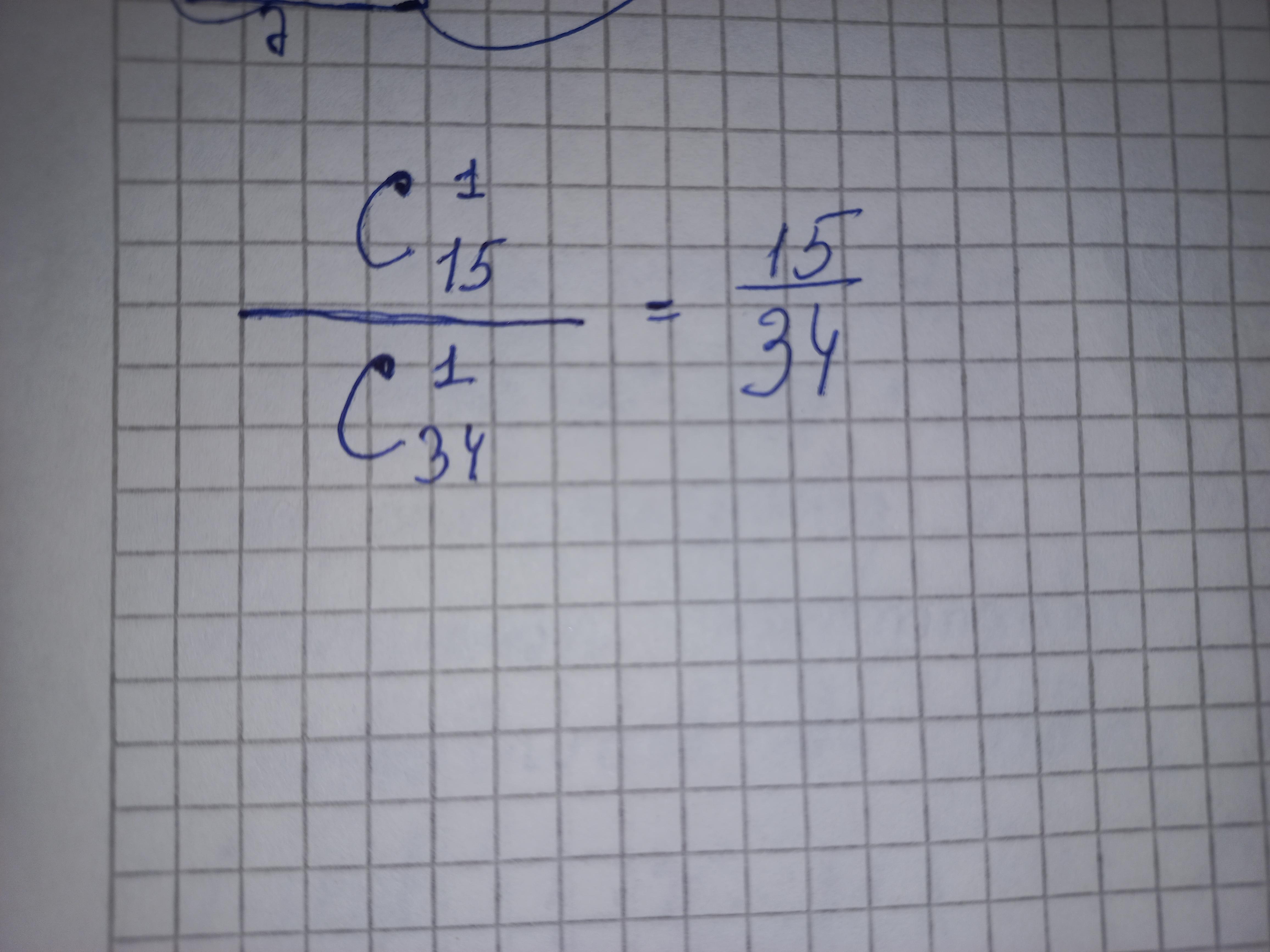
15/34

Пошаговое объяснение:

на фото я объяснила через число сочетаний, но я не уверена что вы это прошли, хотя это вопрос студенческий, думаю как раз через это и надо было решать :)

но если нет, то скажите решу это задание иначе

Приложения:
Вас заинтересует