Ответы
Ответ дал:
0
Удачи не запутаться в моей писанине
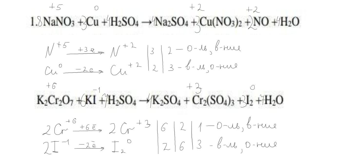
5.2NaNO3+6FeSO4+4H2SO4=3Fe2(SO4)3+Na2SO4+2NO+4H2O
N+5---+3e----->N+2 |3|1-о-ль,в-ние
Fe+2----1e------>Fe+3|1|3-в-ль,о-ние
K2Cr2O7+3SO2+H2SO4=K2SO4+Cr2(SO4)3+H2O
2Cr+6-------+6e---->2Cr+3|6|2|1-о-ль,в-ние
S+4---------2e-------->S+6 |2|6|3-в-ль,о-ние
Приложения:





Abubachir555:
пятое не прикрепляется
Вас заинтересует
1 год назад
1 год назад
1 год назад
1 год назад
2 года назад
2 года назад