• Предмет: Математика
  • Автор: merlaccforstudy
  • Вопрос задан 2 года назад

Вычислить ∫∫D x^2 * ye^(xy) *dxdy | D = (0 <= x <= пи , 0 <= y <= пи/2)

Ответы

Ответ дал: NNNLLL54
1

Ответ:

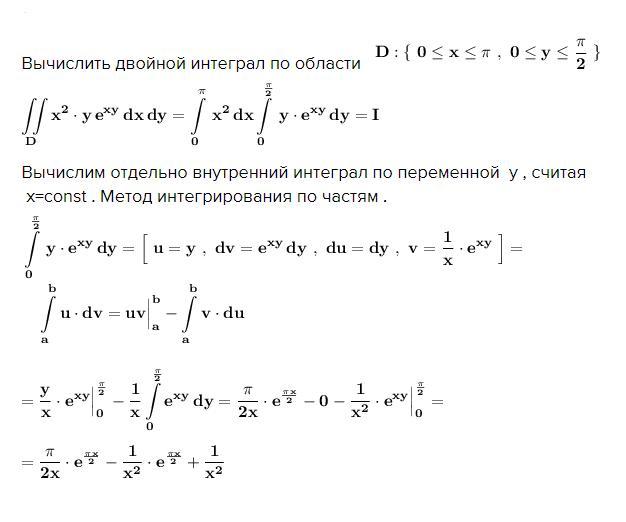
Вычислить двойной интеграл по области   \bf D:\{\ 0\leq x\leq \pi \ ,\ 0\leq y\leq \dfrac{\pi }{2}\ \}

\bf \displaystyle \iint \limits_{D}x^2\cdot y\, e^{xy}\, dx\, dy=\int\limits_0^{\pi }\, x^2\, dx\int\limits_0^{\frac{\pi }{2}}\, y\cdot e^{xy}\, dy=I  

Вычислим отдельно внутренний интеграл по переменной  у , считая  х=const . Метод интегрирования по частям .

\bf \displaystyle \int\limits_0^{\frac{\pi }{2}}\, y\cdot e^{xy}\, dy=\Big[\ u=y\ ,\ dv=e^{xy}\, dy\ ,\ du=dy\ ,\ v=\frac{1}{x}\cdot e^{xy}\ \Big]=\\\\{}\ \ \ \int \limits _{a}^{b}u\cdot dv=uv\Big|_{a}^{b}-\int \limits_{a}^{b}v\cdot du\\\\\\=\frac{y}{x}\cdot e^{xy}\Big|_{0}^{\frac{\pi }{2}}-\frac{1}{x}\int\limits_0^{\frac{\pi }{2}}e^{xy}\, dy=\frac{\pi }{2x}\cdot e^{\frac{\pi x}{2}}-0-\frac{1}{x^2}\cdot e^{xy}\Big|_0^{\frac{\pi }{2}}=  

\bf \displaystyle =\frac{\pi }{2x}\cdot e^{\frac{\pi x}{2}}-\frac{1}{x^2}\cdot e^{\frac{\pi x}{2}}+\frac{1}{x^2}    

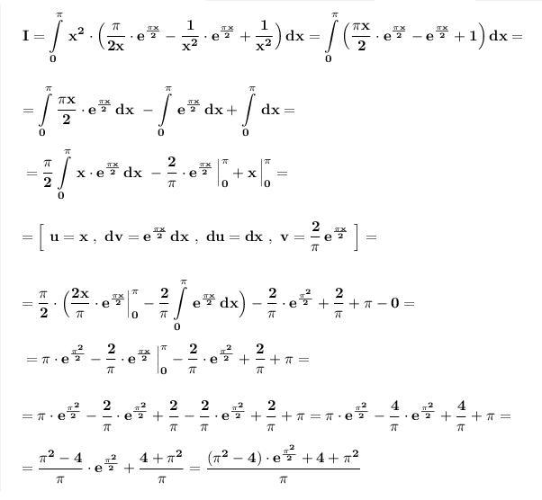
Теперь подставим найденное значение в повторный интеграл .

\bf \displaystyle I=\int\limits_0^{\pi }\, x^2\cdot \Big(\frac{\pi }{2x}\cdot e^{\frac{\pi x}{2}}-\frac{1}{x^2}\cdot e^{\frac{\pi x}{2}}+\frac{1}{x^2}\Big)\, dx=\int\limits_0^{\pi }\Big(\frac{\pi x}{2}\cdot e^{\frac{\pi x}{2}}- e^{\frac{\pi x}{2}}+1\Big)\, dx=\\\\\\=\int\limits_0^{\pi }\frac{\pi x}{2}\cdot e^{\frac{\pi x}{2}}\, dx\ -\int\limits_0^{\pi }\, e^{\frac{\pi x}{2}}\, dx+\int\limits_0^{\pi }\, dx=  

\bf \displaystyle =\frac{\pi }{2}\int\limits_0^{\pi }\, x\cdot e^{\frac{\pi x}{2}}\, dx\ -\frac{2}{\pi }\cdot e^{\frac{\pi x}{2}}\, \Big|_0^{\pi }+x\, \Big|_0^{\pi }=\\\\\\=\Big[\ u=x\ ,\ dv=e^{\frac{\pi x}{2}}\, dx\ ,\ du=dx\ ,\ v=\frac{2}{\pi }\, e^{\frac{\pi x}{2}}\ \Big]=\\\\\\=\frac{\pi }{2}\cdot \Big(\frac{2x}{\pi }\cdot e^{\frac{\pi x}{2}}\Big|_0^{\pi }-\frac{2}{\pi }\int\limits_0^{\pi}\, e^{\frac{\pi x}{2}}\, dx\Big)-\frac{2}{\pi }\cdot e^{\frac{\pi ^2}{2}}+\frac{2}{\pi }+\pi -0=  

\bf \displaystyle =\pi \cdot e^{\frac{\pi ^2}{2}}-\frac{2}{\pi}\cdot e^{\frac{\pi x}{2}}\, \Big|_0^{\pi }-\frac{2}{\pi }\cdot e^{\frac{\pi ^2}{2}}+\frac{2}{\pi }+\pi =\\\\\\=\pi \cdot e^{\frac{\pi ^2}{2}}-\frac{2}{\pi}\cdot e^{\frac{\pi ^2}{2}}+\frac{2}{\pi }-\frac{2}{\pi }\cdot e^{\frac{\pi ^2}{2}}+\frac{2}{\pi }+\pi =\pi \cdot e^{\frac{\pi ^2}{2}}-\frac{4}{\pi }\cdot e^{\frac{\pi ^2}{2}}+\frac{4}{\pi }+\pi =  

\bf \displaystyle =\frac{\pi ^2-4}{\pi}\cdot e^{\frac{\pi ^2}{2}}+\frac{4+\pi ^2}{\pi }=\frac{(\pi ^2-4)\cdot e^{\frac{\pi ^2}{2}}+4+\pi ^2}{\pi }  

Приложения:
Вас заинтересует