• Предмет: Математика
  • Автор: babidgoy
  • Вопрос задан 1 год назад

ПОМОГИТЕ ПОЖАЛУЙСТА ​

Приложения:

Ответы

Ответ дал: sc0urgethehedgehog
1

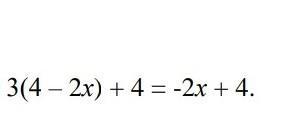
12-6х=-2х

-6х+2х=-12

-4х=-12

х=3

Ответ дал: iamvasyax
1
12-6x+4=-2x+4
-6x+2x=4-4-12
-4x=-12
4x=12
X=3
Вас заинтересует