• Предмет: Химия
  • Автор: Artur425682
  • Вопрос задан 2 года назад

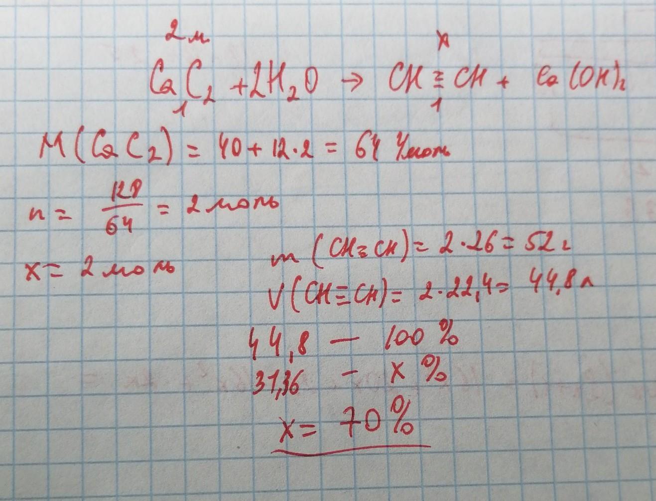
Г Из 128 г карбида кальция получили 31,36 л ацетилена (н.у.). Определите практический выход газа (в%).​ пожалуйста мне очень срочно нужно

Ответы

Ответ дал: privet5841
1

Ответ:

..........................

Приложения:

Artur425682: спасибо
Вас заинтересует