Ответы
Ответ:
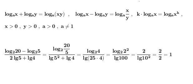
Давайте розкриємо вираз та застосуємо правила логарифмів:
log2^20 - log2^5/2 + lg5 + lg4
За правилом логарифмів log(a) - log(b) = log(a/b), можемо скористатися ним для першого та другого доданків:
log2^20 - log2^5/2 + lg5 + lg4 = log2^(20 - 5/2) + lg5 + lg4
Далі, за правилом логарифму log(a) + log(b) = log(a * b), можемо об'єднати третій та четвертий доданки:
log2^(20 - 5/2) + lg5 + lg4 = log2^(20 - 5/2) + lg(5 * 4)
Знаходимо значення виразу 20 - 5/2:
20 - 5/2 = 20 - 2.5 = 17.5
Підставляємо отримане значення назад:
log2^(20 - 5/2) + lg(5 * 4) = log2^17.5 + lg(20)
Значення log2^17.5 та lg(20) можна обчислити числово за допомогою калькулятора або математичного програмного забезпечення.
Пошаговое объяснение:
Ответ:
Вычислить значение . Применяем свойства логарифмов :
