Ответы
Ответ дал:
1
Ответ:
Основание логарифма 0 < 0,7 < 1 , поэтому функция убывающая и
Основание логарифма 3 > 1 , поэтому функция возрастающая и
.
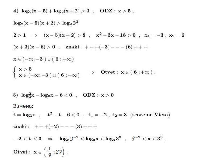
Замена:
Приложения:


vini4enkojarik72:
а что с пятым?
Ответ дал:
1
1)
ОДЗ:
Убывающая функция, знак меняем
2)
ОДЗ:
Возрастающая функция, знак не меняем
3)
ОДЗ:
Убывающая функция, знак меняем
4)
ОДЗ:
Возрастающая функция, знак не меняем
5)
ОДЗ:
Возрастающая функция, знак не меняем
Вас заинтересует
1 год назад
1 год назад
1 год назад
2 года назад
2 года назад
8 лет назад