• Предмет: Алгебра
  • Автор: Alefr
  • Вопрос задан 2 года назад

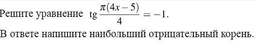
Здравствуйте друзья! Помогите пожалуйста с Алгеброй!15

Приложения:

Ответы

Ответ дал: liftec74
1

Ответ: x=-1

Объяснение:

tg\frac{\pi (4x-5)}{4} =-1   \\\frac{\pi (4x-5)}{4} =\frac{3\pi }{4} +\pi k,   kE Z\\4x-5= 3+4k\\4x=8+4k\\x=2+k\\

Наибольший отрицательный ответ достигается при k=-3

x=2-3=-1

Вас заинтересует