• Предмет: Математика
  • Автор: hasbula228
  • Вопрос задан 2 года назад

Даю 15 баллов!!!!!!!!!!!

Приложения:

Ответы

Ответ дал: juliadovbych
0

Ответ:

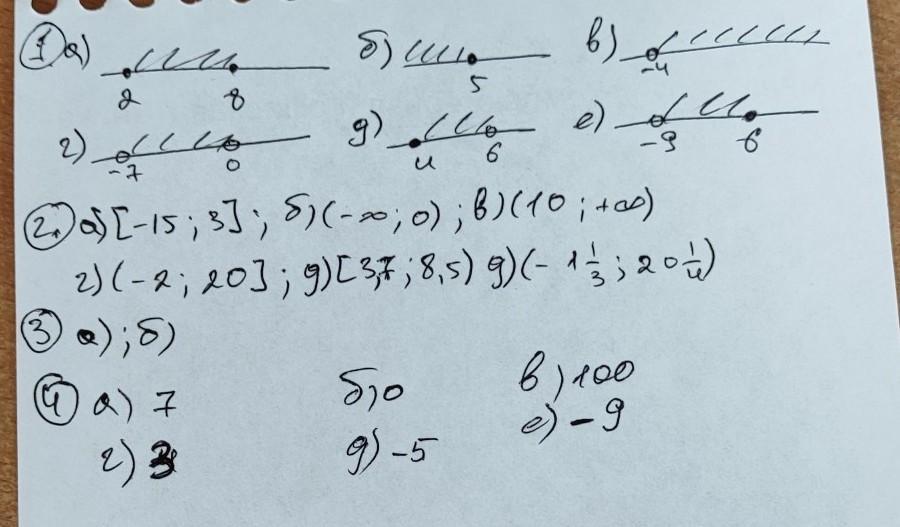
все решения на фото, будут вопросы - велком в комментарии

Приложения:
Вас заинтересует