• Предмет: Математика
  • Автор: iskandar2230
  • Вопрос задан 2 года назад

помогите пожалуйста!​

Приложения:

Ответы

Ответ дал: ildar502020
1

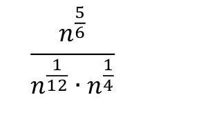
Ответ:   √n.

Пошаговое объяснение:

n^(5/6)/(n^(1/12)*n^(1/4)) = n^(5/6)/n^(1/3) =  n^(5/6) * n^( -1/3) = n^(5/6-1/3) =

= n^(5/6-2/6) = n^(3/6) = n^(1/2)=√n.

Вас заинтересует