• Предмет: Алгебра
  • Автор: igor8765467
  • Вопрос задан 2 года назад

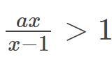
Для каждого значения a решите неравенство

Приложения:

Ответы

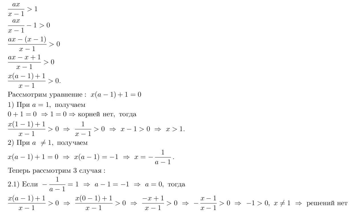
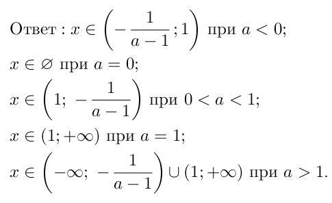
Ответ дал: Alexandr130398
1

Объяснение:

см. во вложении

Приложения:
Вас заинтересует