• Предмет: Физика
  • Автор: hhhhh1111123232
  • Вопрос задан 1 год назад

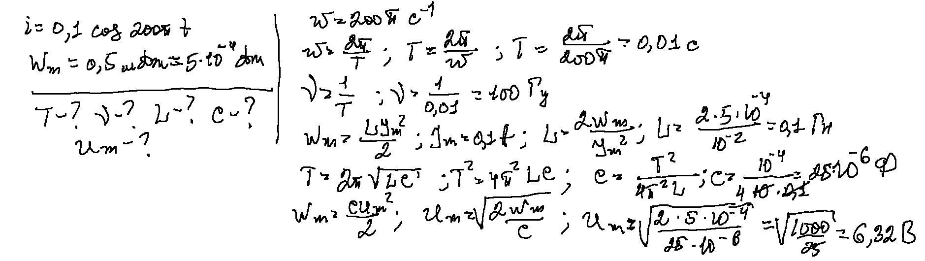
Сила тока в колебательном контуре изменяется по закону: I=0,1cos200pit, А. Максимальная энергия электромагнитного поля колебательного контура 0,5 мДж. Определите период колебаний, частоту колебаний, индуктивность, емкость конденсатора и максимальное напряжение.

Ответы

Ответ дал: krop40
1

Відповідь:

Пояснення:

Приложения:
Вас заинтересует