Ответы
Ответ дал:
1
Ответ:
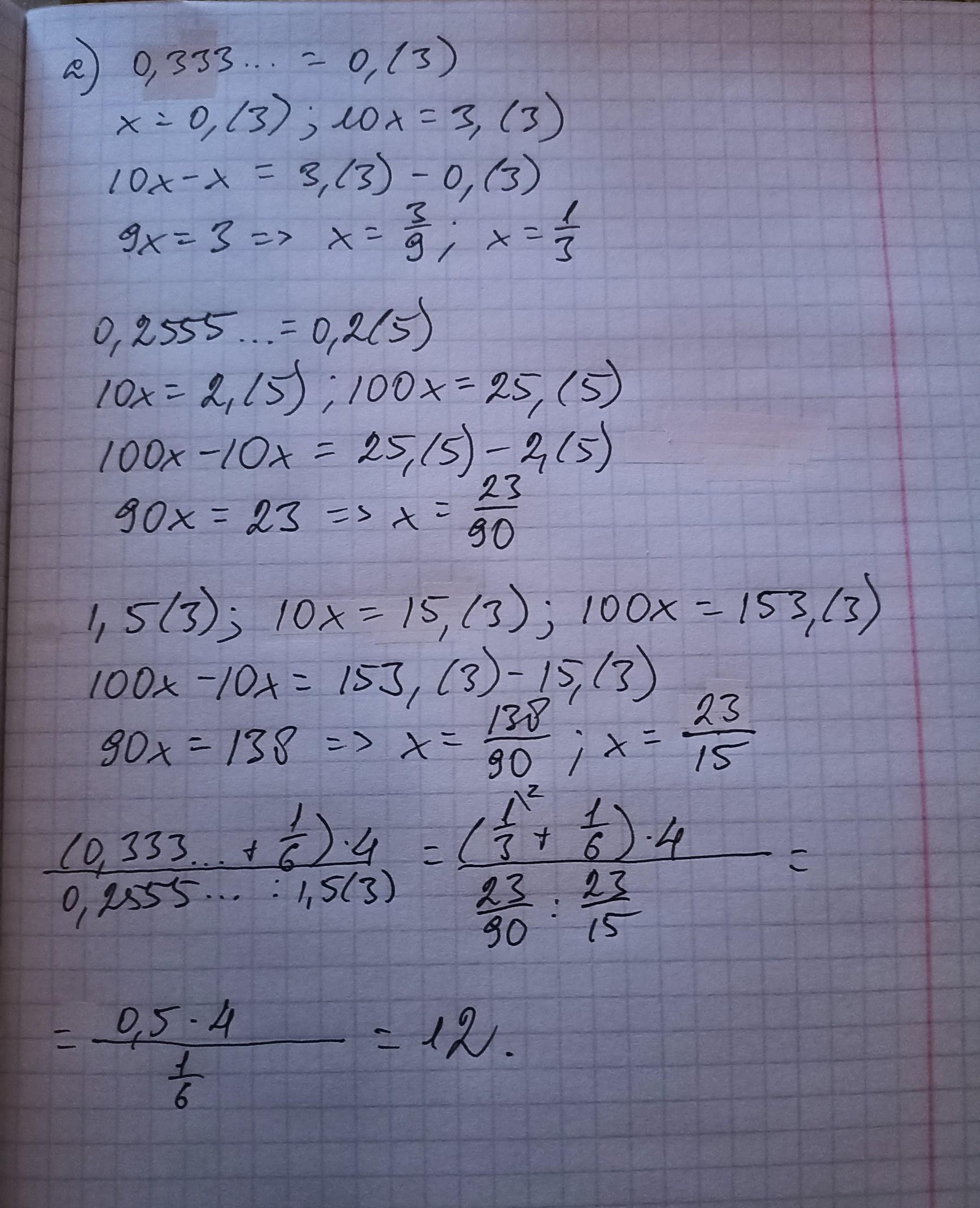
а) 12; б) -53/99; в) 5; г) 17
Пошаговое объяснение:
на фото
Приложения:




amuriskenderli:
а можете пожалуйста помочь с остальными?
Вас заинтересует
1 год назад
1 год назад
2 года назад
2 года назад
8 лет назад