• Предмет: Геометрия
  • Автор: ogabektoshpulatov108
  • Вопрос задан 2 года назад

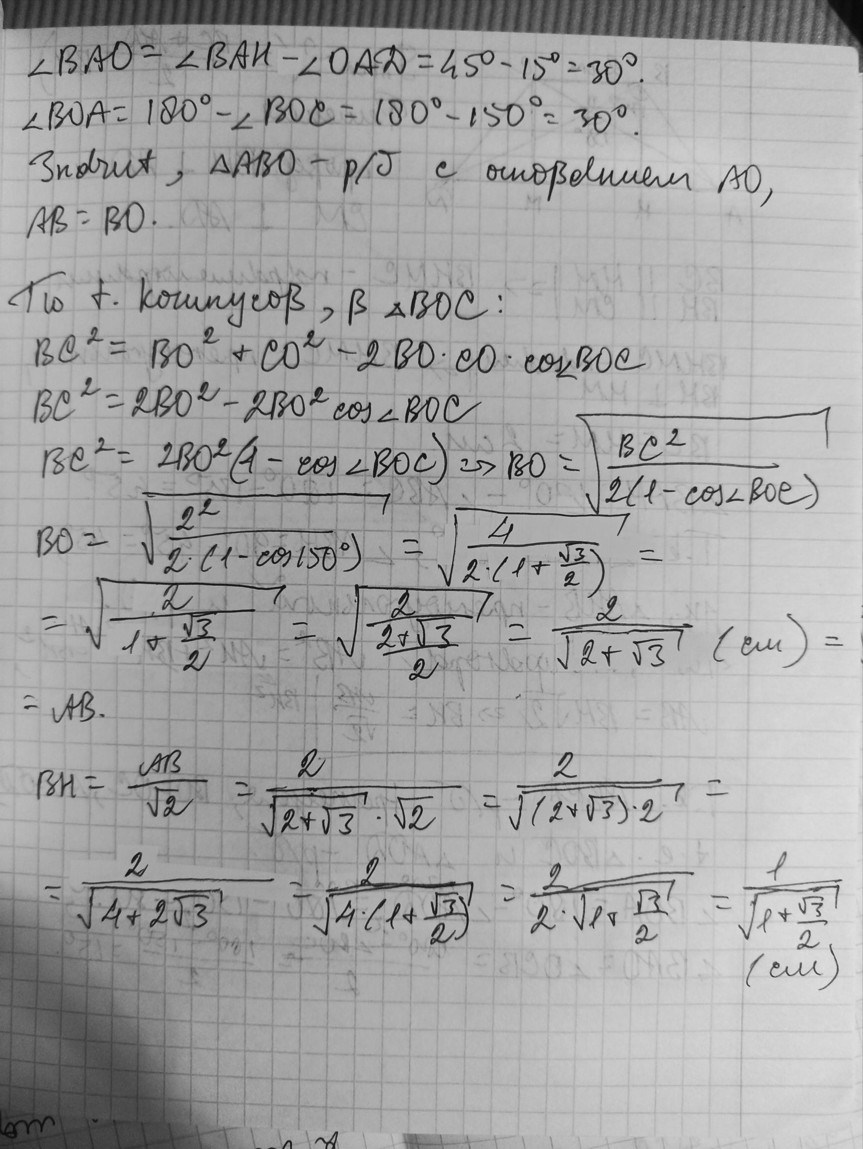
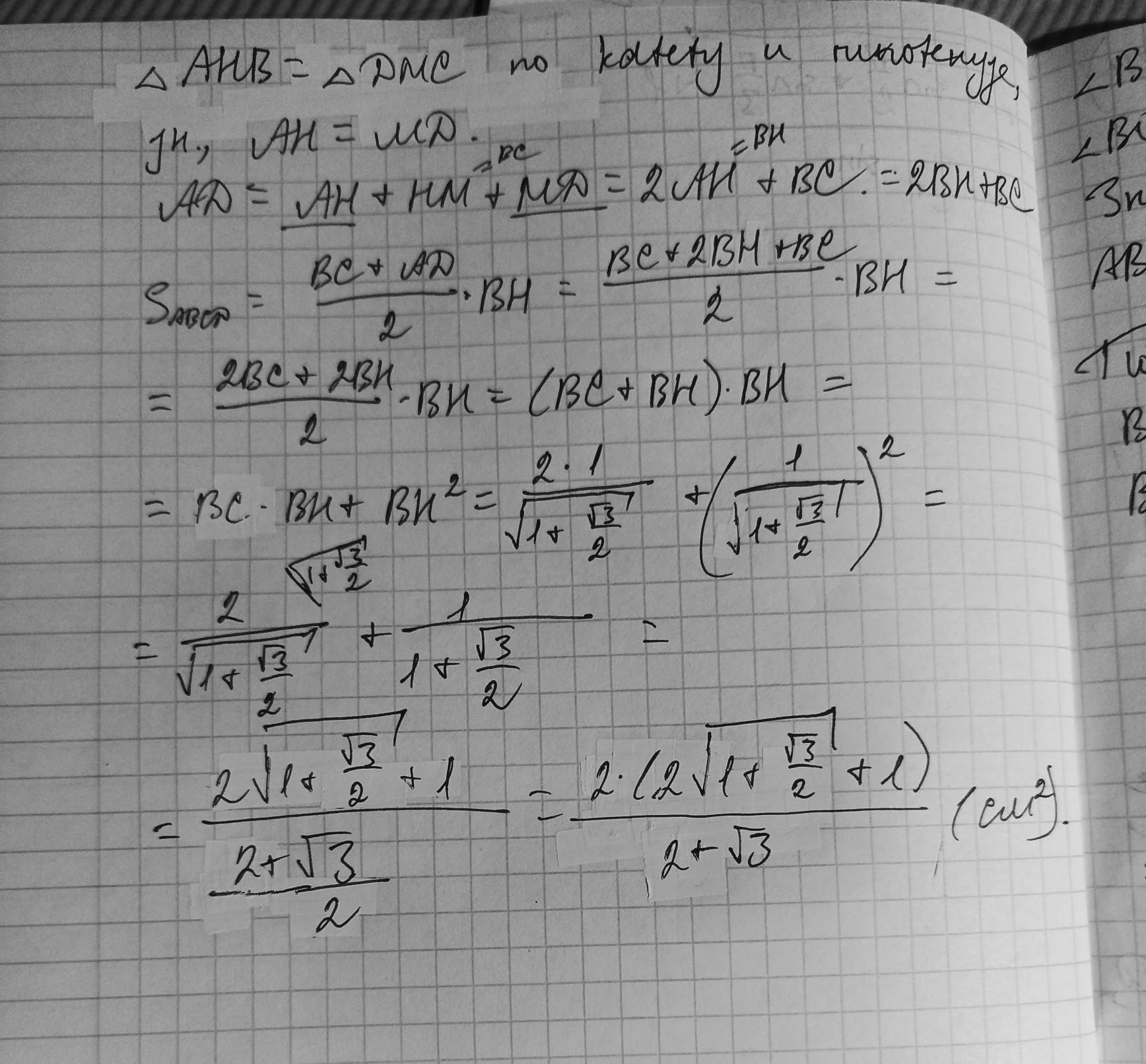
тупой угол равнобедренного трапеции равен 135°. верхнее(маленькое) основание равно 2см. если угол между диагоналями равно 150°, то найдите площадь трапеции​

Ответы

Ответ дал: alchetorn
1

Ответ:

на фото, если верить калькулятору, то это 2 см²

Объяснение:

на фото, скорее всего так

Приложения:
Вас заинтересует