• Предмет: Геометрия
  • Автор: ynodira85
  • Вопрос задан 1 год назад

Найдите площадь фигуры, образованного при помощи соединения точек с координатами
A (5:8), B (1;0) и C (10:4)

Ответы

Ответ дал: NNNLLL54
0

Ответ:

Соединив точки  А(5;8) , В(1;0) , С(10;4)  .  

Легко найти длины сторон и  применить формулу Герона для нахождения площади треугольника .

\bf AB=\sqrt{(1-5)^2+(0-8)^2}=\sqrt{16+64}=\sqrt{80}\\\\BC=\sqrt{(10-1)^2+(4-0)^2}=\sqrt{81+16}=\sqrt{97}\\\\AC=\sqrt{(10-5)^2+(4-8)^2}=\sqrt{25+16}=\sqrt{41}

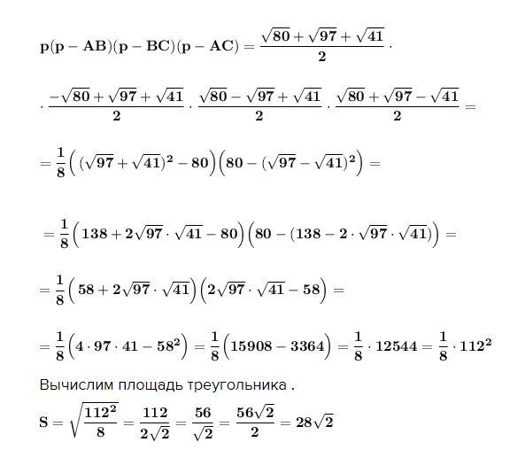
Полупериметр равен  \bf p=\dfrac{1}{2}\cdot (\sqrt{80}+\sqrt{97}+\sqrt{41}\ )  .

  \bf p-AB=\dfrac{\sqrt{80}+\sqrt{97}+\sqrt{41}}{2}-\sqrt{80}=\dfrac{-\sqrt{80}+\sqrt{97}+\sqrt{41}}{2}\\\\\\ p-BC=\dfrac{\sqrt{80}+\sqrt{97}+\sqrt{41}}{2}-\sqrt{97}=\dfrac{\sqrt{80}-\sqrt{97}+\sqrt{41}}{2}\\\\\\ p-AC=\dfrac{\sqrt{80}+\sqrt{97}+\sqrt{41}}{2}-\sqrt{41}=\dfrac{\sqrt{80}+\sqrt{97}-\sqrt{41}}{2}  

Вычислим произведение :

\bf p(p-AB)(p-BC)(p-AC)=\dfrac{\sqrt{80}+\sqrt{97}+\sqrt{41}}{2}\cdot \\\\\\\cdot \dfrac{-\sqrt{80}+\sqrt{97}+\sqrt{41}}{2}\cdot \dfrac{\sqrt{80}-\sqrt{97}+\sqrt{41}}{2}\cdot \dfrac{\sqrt{80}+\sqrt{97}-\sqrt{41}}{2}=\\\\\\=\dfrac{1}{8}\Big(\, (\sqrt{97}+\sqrt{41})^2-80\Big)\Big(80-(\sqrt{97}-\sqrt{41})^2\Big)=  

\bf =\dfrac{1}{8}\Big(\, 138+2\sqrt{97}\cdot \sqrt{41}-80\Big)\Big(80-(138-2\cdot\sqrt{97}\cdot \sqrt{41})\Big)=\\\\\\=\dfrac{1}{8}\Big(\, 58+2\sqrt{97}\cdot \sqrt{41}\Big)\Big(2\sqrt{97}\cdot \sqrt{41}-58\Big)=\\\\\\=\dfrac{1}{8}\Big(4\cdot 97\cdot 41-58^2\Big)=\dfrac{1}{8}\Big(15908-3364\Big)=\dfrac{1}{8}\cdot 12544=\dfrac{1}{8}\cdot 112^2  

Вычислим площадь треугольника .

\bf S=\sqrt{\dfrac{112^2}{8}}=\dfrac{112}{2\sqrt2}=\dfrac{56}{\sqrt2}=\dfrac{56\sqrt2}{2}=28\sqrt2                

Приложения:
Вас заинтересует