• Предмет: Алгебра
  • Автор: apologojko
  • Вопрос задан 2 года назад

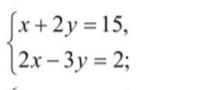
Завдання на фото, з розв'язанням пж​

Приложения:

Ответы

Ответ дал: hypefaq
0

Скористаємося методом підстановки:

\left \{ {{x+2y=15} \atop {2x-3y=2}} \right.

Виразимо перше рівняння через x:

\left \{ {{x=15-2y} \atop {2x-3y=2}} \right.

Підставимо значення x в друге рівняння та розв'яжемо:

2(15-2y)-3y=2\\30-4y-3y=2\\-4y-3y=-30+2\\-7y=-28\\y=4

Знайдемо значення x, підставивши значення y в перше рівняння:

x=15-2*4\\x=15-8\\x=7

Відповідь:

(7;4)


apologojko: велике дякую
Ответ дал: Аноним
0

\begin{cases}x+2y=15\\2x-3y=2\end{cases}\Leftrightarrow \begin{cases}2x+4y=30\\2x-3y=2\end{cases}\Rightarrow 7y=28\Rightarrow (x,y)=(7,4)

Вас заинтересует