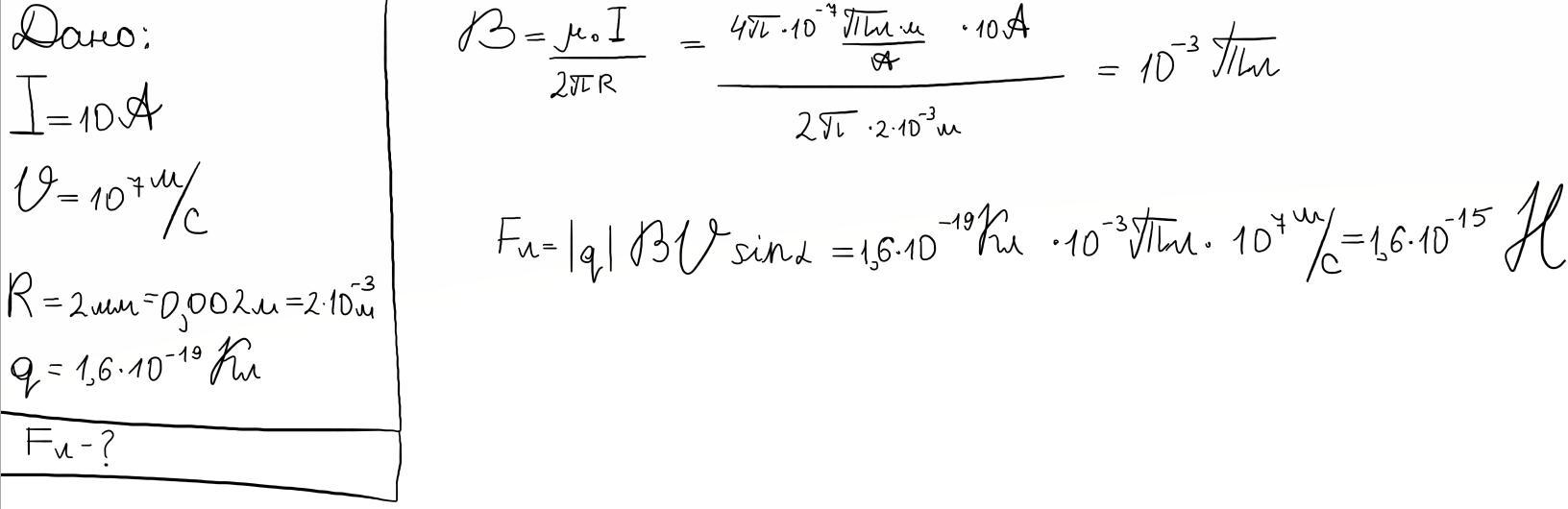
По длинному прямому проводу течет ток силой 10 А. Электрон движется со скоростью 10^7 м/с на расстоянии 2 мм от этого проводника. Насколько сильно магнитное поле тока в проводнике влияет на электрон?
Аноним:
Кинувідповідь в тг hto_admin
Ответы
Ответ дал:
2
Удачи!!!!!!!!!!!!!!!!!!!!!!!!!!!!!
Приложения:

Вас заинтересует
1 год назад
1 год назад
1 год назад
1 год назад
2 года назад
2 года назад
8 лет назад
8 лет назад