Ответы
Ответ дал:
1
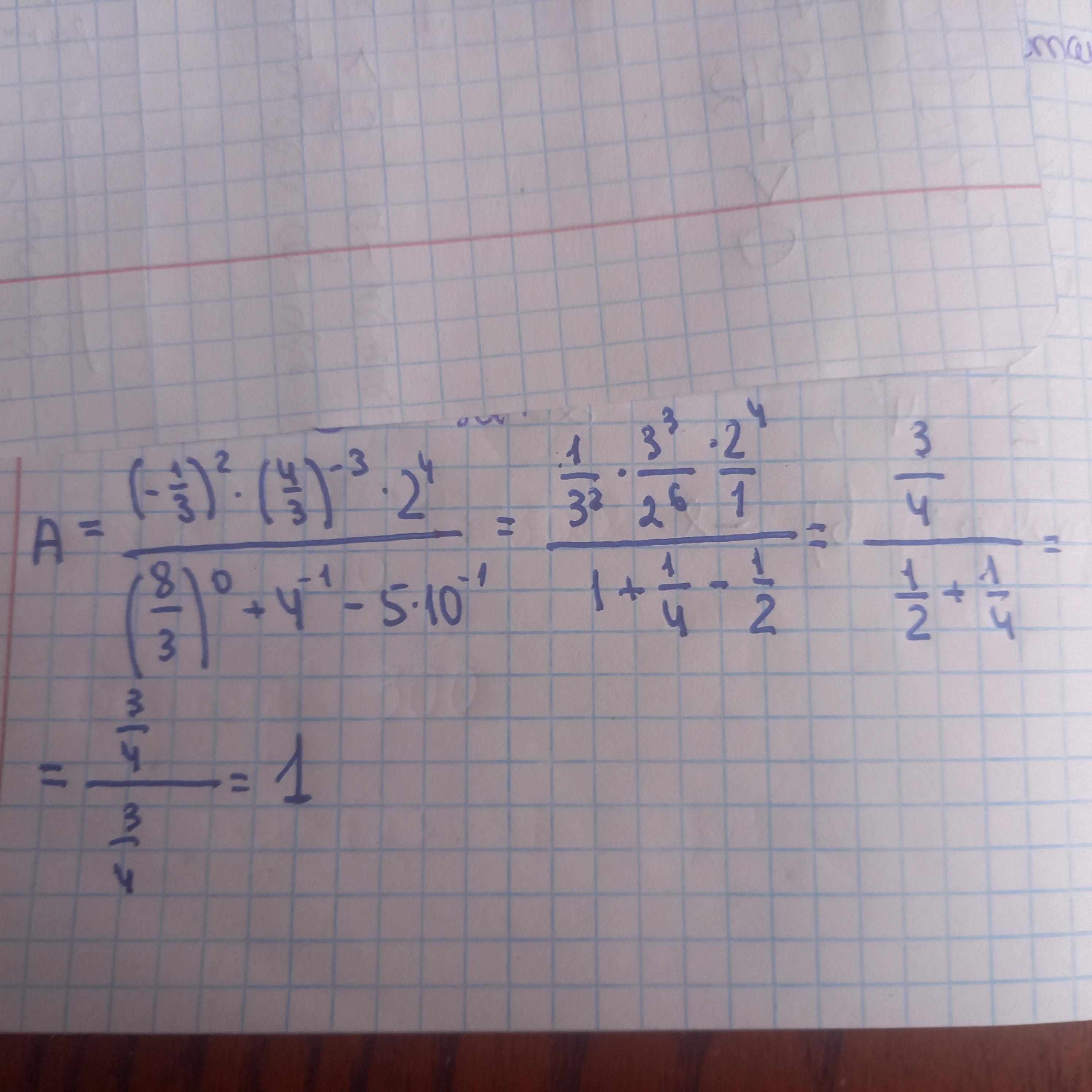
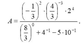
Ответ: 1.
Объяснение:
A=((1/9)*(27/64)*16)/(1+1/4-0.5)=(3/4)/(3/4) = 1.
Ответ дал:
0
Відповідь: 1
Пояснення:
розв'язання завдання додаю
Приложения:

Вас заинтересует
1 год назад
2 года назад
2 года назад
8 лет назад