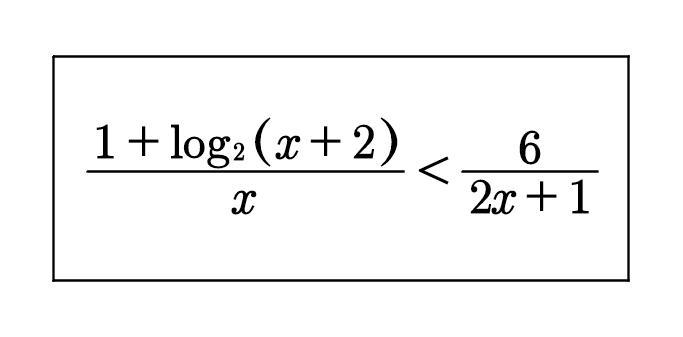
Решите неравенство.....
Приложения:

ГАЗ52:
А ответ уже есть?
Ответы
Ответ дал:
2
Долго я искал нормальное решение, но пришлось прям от руки всё делать и строить графики
Приложения:

Вас заинтересует
1 год назад
1 год назад
1 год назад
2 года назад
2 года назад