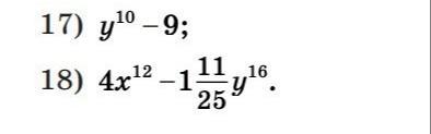
Помогите пожалуйста зделать 2 примера. Задание на скрине
Приложения:

ivanperesunko913:
Нужно разложить на множители
Ответы
Ответ дал:
0
Ответ:
Объяснение:
……………………..
Приложения:

Ответ дал:
0
Ответ:
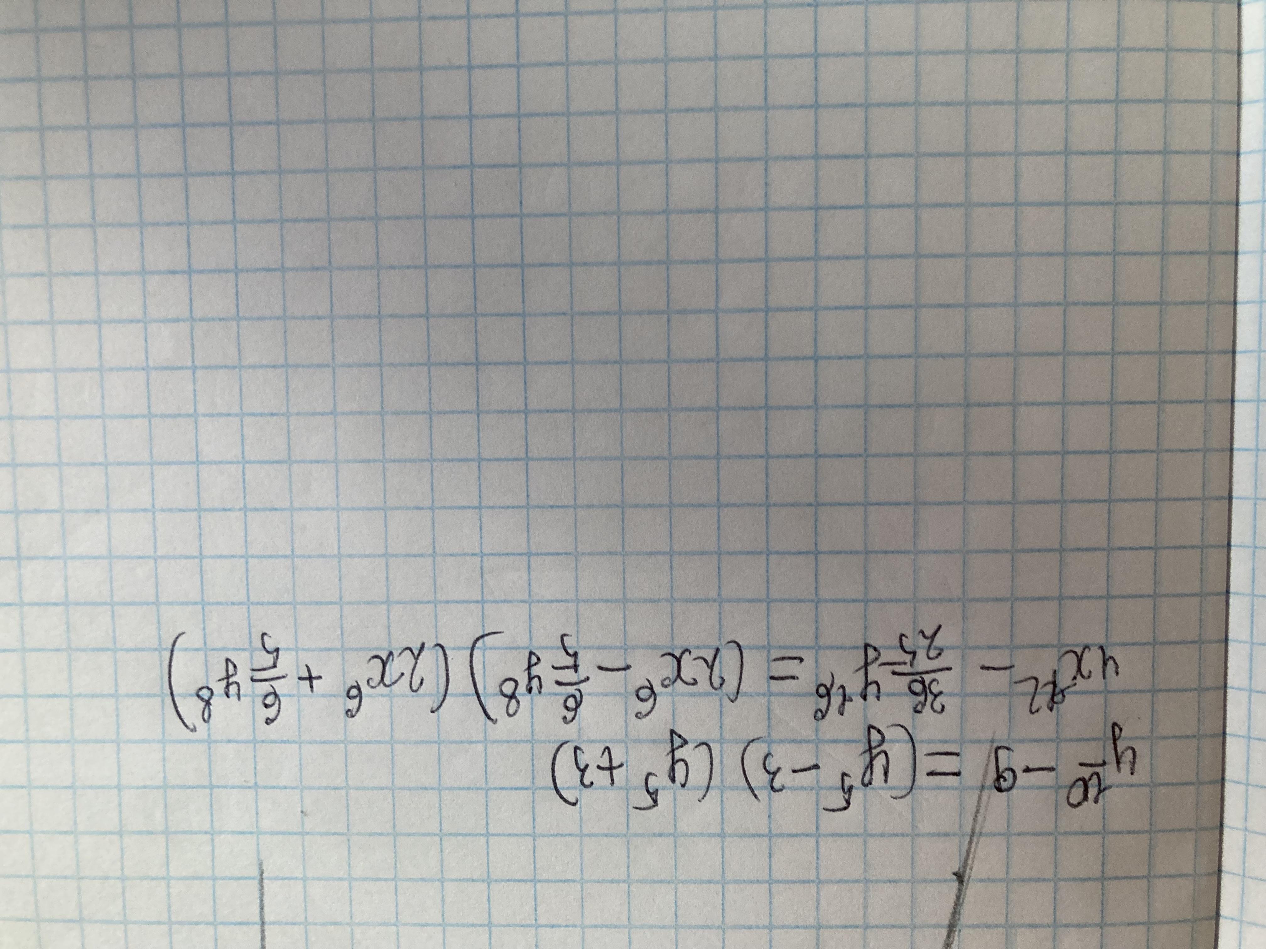
Применяем формулу разности квадратов : .
Приложения:

Вас заинтересует
1 год назад
1 год назад
2 года назад
2 года назад
8 лет назад