• Предмет: Алгебра
  • Автор: Ghhvjgjgj
  • Вопрос задан 1 год назад

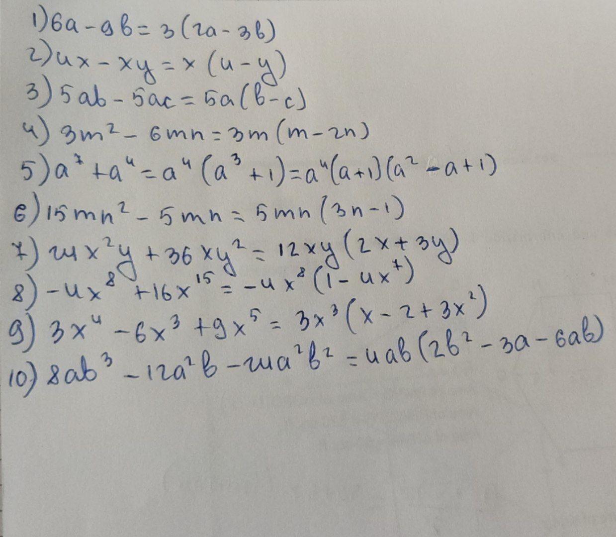
СРОЧНО ДАЮ 40 БАЛЛОВ (напишите на листочке пожалуйста)

Приложения:

Ответы

Ответ дал: fiftyfifty3006
1

ответ на фото

Объяснение:

можно лучший ответ?

Приложения:
Вас заинтересует