• Предмет: Алгебра
  • Автор: lor3xgames
  • Вопрос задан 1 год назад

БУДЬЛАСКА ДОПОМОЖІТЬ ТЕРМІНОВО

Приложения:

Ответы

Ответ дал: viktoriatrocin3
0

Объяснение:

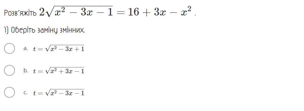
1.с

2.a(этот ответ нашел в интернете)

3.а

Вас заинтересует