• Предмет: Геометрия
  • Автор: nyncu4ka
  • Вопрос задан 1 год назад

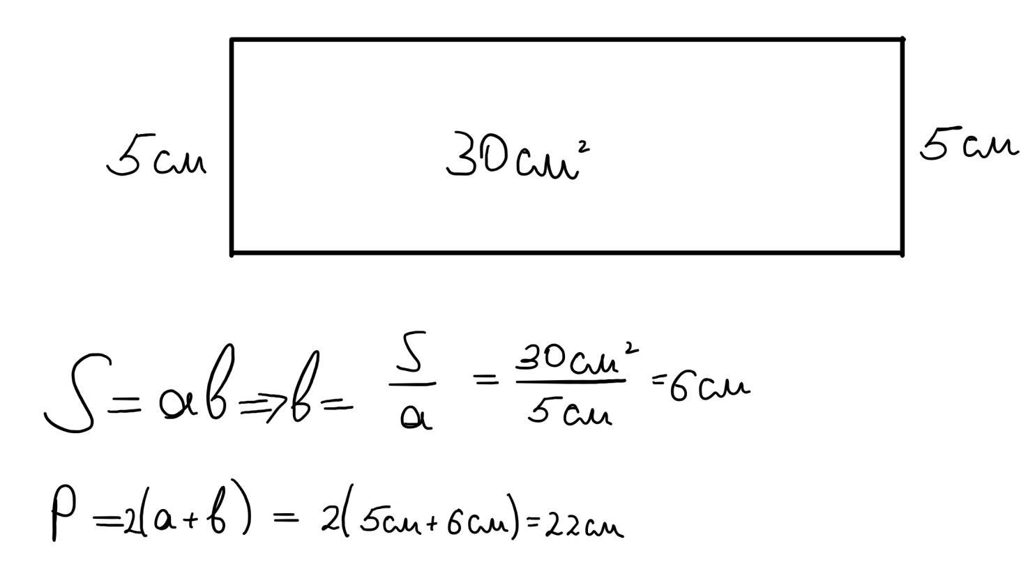
знайти периметр прямокутника, площа якого 30см², а одна з його сторін 5 см.

Ответы

Ответ дал: Abubachir555
1

Удачи!!!!!!!!!!!!!!!!!!!

Приложения:
Вас заинтересует