• Предмет: Математика
  • Автор: smk1799
  • Вопрос задан 1 год назад


ПРОШУ ВАС, очень надо

Приложения:

Аноним: напишив телегу мені hahobn

Ответы

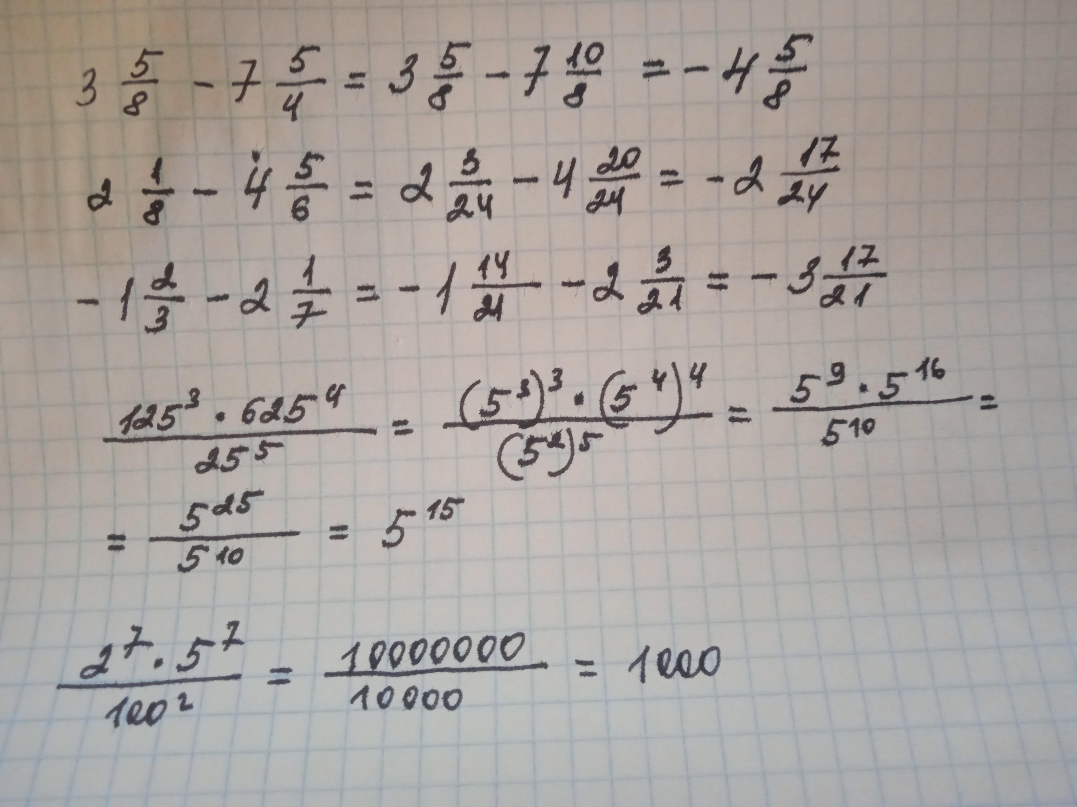
Ответ дал: Пеппер
1

Ответ:

на фото

Пошаговое объяснение:

Приложения:
Вас заинтересует