• Предмет: Химия
  • Автор: cernoskurana
  • Вопрос задан 2 года назад

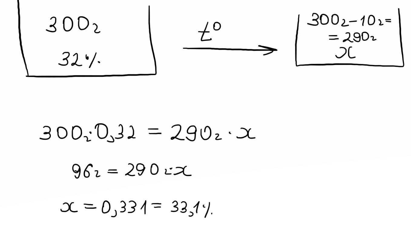
Визначте масову частку солі, що утвориться після того, як розчин масою 300г а масовою часткою солі 32%, прокипʼятили, в результаті чого, його маса зменшилась на 10 г
дуже прошу

Ответы

Ответ дал: Abubachir555
0

Удачи!!!!!!!!!!!!!!!!

Приложения:
Ответ дал: dobriakua
0

Дано:

m1 р-ну(солі) = 300 г

ω1(солі) = 32%

Δm р-ну(солі) = 10 г

Знайти:

ω2(солі) - ?

Розв'язання:

1) m(води) = Δm р-ну(солі) = 10 г;

2) m1(солі) = ω1 * m1 р-ну / 100% = 32% * 300 / 100% = 96 г;

3) m2(солі) = m1(солі) = 96 г;

4) m2 р-ну(солі) = m1 р-ну(солі) - m(води) = 300 - 10 = 290 г;

5) ω2(солі) = m2 * 100% / m2 р-ну = 96 * 100% / 290 = 33,1%.

Відповідь: Масова частка солі становить 33,1%.

Вас заинтересует