• Предмет: Алгебра
  • Автор: lor3xgames
  • Вопрос задан 2 года назад

ДОПОМОЖІТЬ ТЕРМІНОВО БУДЬЛАСКА

Приложения:

Ответы

Ответ дал: alchetorn
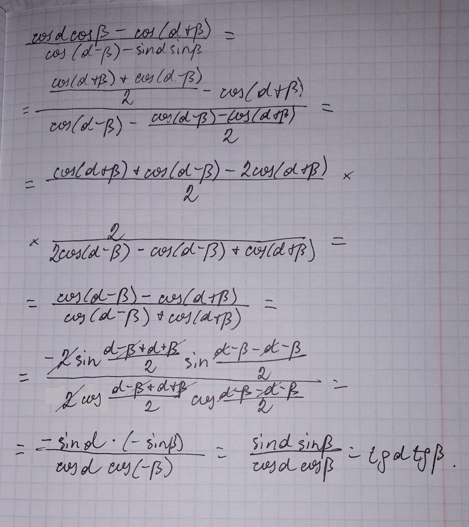
0

Ответ:

tg(a)tg(b)

-ctg(2a)

cos(2a)

Объяснение:

на фото

Приложения:
Вас заинтересует